Вопрос:
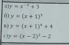
в) y = (x + 1)^4 + 4
Ответ ассистента
Другие решения
Что ещё задавали пользователи
-
По какой формуле можно рассчитать мощность?
Показать ответ -
Робот в квадрате 2×2. Он должен закрасить все клетки квадрата и остановиться в левой верхней клетке. move_left() Сделать шаг влево move_right() Сделать шаг вправо move_up() Сделать шаг вверх move_down() Сделать шаг вниз fill_cell() Закрасить клетку написать алгоритм для всех четырех картинок
Показать ответ -
1. Подбери антонимы к словам
Показать ответ -
1. Решите методом подстановки систему уравнений { x + 5y = 15, 2x - y = 8.
Показать ответ -
Перестройте предложения, заменяя личные глаголы безличными или используя в значении безличных.
Показать ответ -
1. Запишите названия океанов, обозначенных на карте буквами А и Г.
Показать ответ -
а) (1/14 - 2/7) : (-3) - 6 1/18 : (-6 1/12)
Показать ответ -
Допущение: задания I варианта из фото.
Показать ответ -
1. Совокупность знаков, с помощью которых записываются числа, называется:
Показать ответ -
2. Запишите краткие формы имён прилагательных.
Показать ответ